十 29
		  
          
            JQX/进取芯 席明纳第17期(2025.10.23)

人船模型的拓展应用

JQX|Jin
一、小物块在光滑半圆形轨道上运动
半圆光滑槽质量为 

,半径为 

,置于光滑水平地面上。一个质量为 

 的小滑块在槽内左上角由静止释放。求:
(1) 

 滑到最低点时的速度;
(2) 

 滑到最低点时所受支持力的大小;
(3) 

 对地的运动轨迹在最低点的曲率半径;
(4) 

 对地的轨迹方程;
参考解析
(1)根据动量守恒:

。机械能守恒:

联立解得:

(2)以槽为参考系,最低点时沿半径方向受支持力和重力:

(3)当研究轨迹为一般曲线时,利用曲率半径的概念:

(4)以半圆轨道圆心为坐标原点建立直角坐标系,设小物块的横坐标为 

,半圆轨道向左发生的位移为 

,此时圆的方程为 

。
由系统水平方向动量守恒:

,得 

。
将 

 代入移动后的圆方程得:

,为椭圆。
二、小物块在光滑斜面上运动
将质量为 

 的小滑块沿倾角为 

 的光滑三角形斜面静止释放,整个装置置于光滑水平地面上,求滑块落地时间。
为了解决这个问题,需要明确运动为匀变速直线运动(方法三可证明)。
方法一:
思路:根据人船模型,我们可以明确物体运动的初末位置,得到运动的位移。再求出物体运动的末速度,结合运动学公式求出时间。
根据人船模型:

下落高度:

几何关系:

系统机械能守恒:

水平方向动量守恒:

速度方向与位移方向关系:

匀变速直线运动平均速度公式:

解得:

方法二:
思路:得到运动的位移后,可以明确加速度的方向为位移方向,由矢量合成求出加速度大小,结合运动学公式求出时间。
根据上一个方法的 

 和 

,我们可以求出实际轨迹的倾角 

,
根据加速度方向与轨迹方向一致和牛二的矢量三角形(见黑板中部左侧),可得:

再根据 

 可求出时间。
方法三(K2304
吴尚达):
思路:以斜面为参考系,滑块运动即为匀加速直线运动,引入惯性力列方程组求解。
对斜面,水平方向(换系引入惯性力 

 后平衡)列式:

对物块,垂直斜面方向(换系引入惯性力 

,垂直斜面方向平衡)列式:

联立方程,可解得:
 
 
可见 

 于 

 都是定值,可证运动是匀加速直线运动。
再结合斜面的对地位移,可求时间。
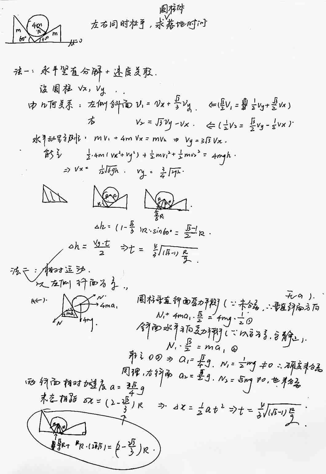
三、光滑圆柱在双斜面上运动(K2304吴尚达)
吴同学在分析斜面问题后,由提出了带有速度关联关系的双斜面问题,并提出了两种解法:
 四、小物块在斜面、抛物线轨道的轨迹方程
四、小物块在斜面、抛物线轨道的轨迹方程
与求半圆轨道模型类似,当小物块移动 

 时,轨道会相应移动 

 的位移,也就意味着,小物块在原有轨道的轨迹被进行了压缩。
所以,直线轨道压缩后,轨迹方程为斜率更大的直线,抛物线轨迹被压缩后,轨迹方程依然为抛物线,而圆形轨道轨迹方程被压缩后为椭圆。
而且,这个求解的方法,只需要水平方向动量守恒,对初速度、轨道内部是否粗糙都没有要求,也就是说轨迹方程都不变。
【下期预告】
初探变分法,运用变分法重新审视最速降线问题,并证明摆线的等时性。
           
         
		
        
		  十 27
		  
          
            《普通力》 松浦弥太郎著
过好恒常如新的每一天
前言
我在二十岁的时候,还一点没有活出自我。(苏东坡四十岁才活出自我)拼了命让自己看上去和别人不一样。
丢掉一直以来从他人处寻求答案的意识,先问问自己会怎么想,自己会怎么做,怎样才能让自己每一天都心情愉快地工作、生活与人相处。
当自己认为这样很酷的时候,就顺从本心地照做吧。
“创造始于模仿。”米开朗基罗
请一定要发现自我,简而言之,就是要知道真实的自己究竟是个怎样的人。再去思考从现在开始应该如何修饰这个我。
一、衣 成就自我的衣橱
标准、传统和优质,成为我选择穿着的标准。
仍能不紧不慢地继续做着同样的东西,品牌的精神实在令人折服。这其中也包含着信念,更重要的是,对自己制作的物品充满了爱。
布克兄弟的衬衫
同样颜色的衬衫准备5件,感觉就能满足未来十年左右的衬衫需求了。
我每天穿的衬衫从不熨烫。(这点我也是,麻烦,也不想太刻板。)
不要在衬衣里再穿内衣。(这点我似乎做不到,就像冬天不穿衬裤那样。)
二十来岁就算戴劳力士,也不会被认为是正品。
鞋子是衣服和时尚的中心。穿一双好鞋会给人带来自信。
当雨点打在以可靠技术结成的上等丝绸伞面上时,那声音如同小太鼓的鼓点一般,实在让人激动不已。(Swaibee Adeney Brigg的伞好贵啊。)
听着美妙的雨声行走,连雨天都会悠忽间明亮。
爱尔兰漂白纯亚麻或西岛棉的手帕,我有20条左右。
只不过也没有淘便宜货这种心态罢了。(花了较久才逐渐摆脱淘便宜货的心态,但它时不时会再找回来···)
我更喜欢在自己的能力范围内挑选好的东西,然后爱惜地使用。(关于跑鞋,有同感。)
二、食和住 让每天的生活丰富多彩
淡化了自己与对方的界限,从亲密感中得到快乐,但这不完全是一件好事。
人与人之间,不仅有爱,尊重也是十分重要的。
每个人都有“不想让别人跨过的界限”。
自己讨厌的事情绝不让对方去做。自己的事情自己做。(如果对方擅长,也不讨厌,另一方在自己擅长的方面给予补偿呢)
让别人幸福的方法,首先是让自己幸福。
“为了家庭我要忍耐”这样的吸纳沙发,被一些人当做一种美学挂在嘴上。然而“牺牲一个人幸福所有人”这样的事没无论是对于家庭还是对于社会,都是不可能的事。(但如此的所谓传统的道德,经常绑架被称之为善良伟大的愚昧之人。)
家中的每一件家具或者小摆设都像宠物一样,是家庭的一员。
将机器制造的没有感情的东西一点点从生活中剔除,会更加惜物,更加怜悯,也会更加慎重地购物。如此一来,家会变得更加温暖。
谨守个人的领域,开启属于自己的一天,这样不好吗?
物品是一起生活的伙伴,所以抱着多么谨慎的态度去挑选都不过分吧。
香薰机
威斯汀大酒店 天梦之床 泰普尔
最近逐渐不用浴巾了。(同感)
三、工作 工作中的规则和礼法
关系的构造,需要的是日积月累。(但很多关系,似乎日积月累后,负面情绪增加呢)
(那谁,在家里开油烟机炭烤串,结果同楼的不少人家里厨房也是烟,有老人睡觉呢被呛醒了,还以为家里着火了呢。)
公司的桌子,也要装扮得和自己的房间一样舒适,我认为这是缺乏社会性,非常幼稚的表现。
从扔垃圾的这一点就可以看出工作中交流能力的高低。能顾虑垃圾去向的人,是更愿意触动想象力的人,第六感发达,更可能是个细心周到的人。
文具,一旦以“越便宜越好”为标准,整个工作都会飘着穷酸气。
我想最好的礼物是花。
建立一个“不互相交换礼物”的规定,这样大家都没有负担,交往会更加轻松。
不要说“打算”。
(拼了命地活着,才是活着。)
一点点尝试解开缠绕思维的细线。
活出自己不是一件简单的事。
人都有脆弱的时候,活出自己不死一件简单的事。就算不是每天,但感到疲惫、感到混乱、感到不知所措的日子真的很多。每当这时,回到与己而言的工作是什么、生活是什么这个问题的答案上来,就能找回自我了。就像在大海上游泳,疲惫之时能否找到那个让自己身体休息的浮板一样。
以后也会有迷茫、烦恼。仿佛在暗中前行的时刻。每当那时,我相信自我的基石,就如小小的灯火会照亮脚下的路。
(轻松细腻的描述)(很快、很轻松读完的书,但余音未止,强音反而共振样的加强了,三年不绝呢···)
           
         
		
        
		
        
		
        
		  十 22
		  
          
            
《理性的功能》怀特海 The  Function of Reason Whitehead
中译者序
1929年怀特海在普林斯顿大学的三次演讲,他的打鼎之作《过程与实在》也是同年问世。
过程哲学认为,构成宇宙的基本单位不是不变的粒子,而是永远处于动态的“事件”(eveent)或“事态”(occasion),怀特海称其为“实际实有”。(actual entity)
实际实有的生成为“创造性”所驱动。“创造性”就是活下去,活得好,活得更好的那种冲动。实际实有是双极的,既有物质极,又有精神极,而且,精神极是有矢量特征的,它引导“创造性”的方向。
“观念之史,便是错误之史。”理性知道我们生活之道的过程,是一场冒险。
根据过程哲学,世界在微观和宏观上都是无穷尽的,我们认识到的世界极其有限,我们所总结的任何规律都不能穷尽一切现象,它们只是统计学意义上的真理,并不存在“调节一切行为的、固定而永恒的规律。”
“具体性误置谬误”,把抽象视为具体,用抽象代替具体。大千世界,纷纭万象,岂是几条规律管得住的?
“纠缠如毒蛇,执着如怨鬼。”
我们对所谓物质世界的最直接的知觉,并非我们对外在事物的感官感知,而是我们点击来自我们身体的诸多感受的接受。
“在使用语言的过程中,存在着一种双重的符号指称---说者以物指词,听着则逆而已词指物。”
一
我们不能指望,依靠一个准确的术语便可以将我们的主题说透彻。
理性的功能,就是提升生活之道。我们必须反对“适者生存”这一术语暗示的进化论的谬误。这一谬误不在于相信适者生存、不适者淘汰,事实就在我们眼前,显而易见。这一谬误就在于相信适于生存就等于生活之道的最佳表现。
生命本身就是相对缺乏生存价值的。持续存在之道就是去死。只有无机物才能持续长久。一块岩石可以持续存在8亿年,一棵树可活1000年,而一个人或一头象只能活50-100年,昆虫却只能活大约一年。进化论学说提出的问题是,如何解释如此缺乏生存能力的复杂生物的进化过程。它们之所以出现,肯定不是因为在生存竞争中优于周围的岩石。用生物间的生存竞争来解释物种起源是可行的,但这一竞争却一点也不能解释,何以出现这样一种常见的生存力微弱的复杂物种。
动物也逐渐地让环境适应自己。甚至动物更寻常的行为都是改变环境的活动。
高级的生命形式忙于改变它们的环境。就人类而言,这一对环境的主动改造,是他生存中最显著的事实。
(大概因为这句话的震撼,放下手手头的工作,重新整理这本书前半部分的笔记。)
理性的功能就是对生活之道的提升。理性的基本功能就是对改造环境这一行为进行指导。
人类的一些主要灾难,真实由于具有一套好方法的人头脑偏狭而产生的。
在固守自己成见时,科学家与神职人员的做法并无二致。
当任何一套生活的方法穷尽了它范围内的新颖性,难以为继而产生疲劳时,一个最终的决定就会决定一个物种的命运。
当物种决绝冒险,便会退回到业已被证明仅仅是为了活下去的生活习惯中。好活沦为苟活。
疲劳与理性是相对的,疲劳的作用挫败了理性那追求上升趋势的原始特点。
理性的冲动一旦遭到了这种惯性的阻碍,便会化为疲劳。当这一受到阻碍的冲动最终消失,生命,就其表面的作用而言,还维持在它原来的阶段···这一静态生活的阶段从未真正达于稳定。它表现为一种缓慢而长期的衰败,机体的形式由负载逐渐沦为简单。(人生如骑着自行车···)
如果我们考察自然宇宙,静静地活下去,伴之以缓慢的衰退,似乎才是一般规律。(熵增)理性则体现为冲动,它要把简单地活下去转变为活得好,把活得好转变为活得更好。
每一个经验事态都是两极的额,是精神经验与物质经验的结合。
精神经验的最低形式就是一种盲目的冲动,追求某种形式来实现自己。
精神就是追求某种空虚明确性的冲动,就是欲把该明确性包括在非空虚享受的事实中的那种冲动。
精神并不是空虚的,但它却把形式的纯粹空虚性带入经验的实现过程中。
精神经验是产生新颖性的器官,是超越的冲动,它着意要用吸引人的新颖性,将大量重复性的物理事实化为生动。
最低形式的精神经验,被引导为奴性的循规蹈矩。
当精神在高层次上发挥作用时,它便将新颖带入精神经验的欲望中。这样的作用中便含有纯粹的反秩序的成分。但此刻的精神已能自我调节,它以自己的判断来引导自己的行动。它引入了一种更高级的欲望,这种欲望能在它自己的反秩序行为中进行区分,于是理性出现了。
理性将饭秩序的欲望文明化,没有反秩序的欲望,自然注定要逐渐坠入虚无。单纯重复性经验会逐渐消除一个一个的成分,归于空虚。
二
理性以非功利的好奇心追求对世界的理解。
理性的唯一满足是:经验呗理解了。它对生活怀抱着理想,力图以理解之美好来早就生活之美好。只要理解不完全,它便在那种程度上维持着不满足,它雨丝便有了将生活有美好变为更美好的冲动。但它所追求的进步总是朝向更好理解的进步,这便是那种无功利的好奇心的冲动。
诚实,作为一个人自尊中的成分,就出自对理性本身的一种尊崇。
直到150年前,思辨理性对技术和艺术的影响都是微乎其微的,现代时期,艺术没有任何进步,在有些方面甚至衰退了。在过去150年里,技术取得了巨大的进步,这是因为思辨的理性和实践的理论终于联系起来了。
辉煌时代的曙光仍然被人性中顽固的蒙昧主义遮蔽,蒙昧主义根深蒂固,已有数百万年之久。
科学家们,“凭实力登上高位,意气洋洋。”
苏格拉底把生视为病,把死视为病愈。
对一个文明的理解,就是对它的界限的理解。
三
亚洲文明经辉煌发展后,进入相对的停滞期。这是由于它穷尽了它思想的资本,即那一好奇心的产物。亚洲没有庞大的抽象思想体系在人的头脑中保持着勃勃生机,随时准备把意义赋予人的偶然经验。它仍处于沉思中,思想坠入了静态。这一对抽象思想的单纯沉思,窒息了产生新颖的那种不循规蹈矩的好奇心。
抽象思辨,即创建体系且又超越体系的思辨,敢于达到抽象之极致的思辨,一直是世界的救星。为思辨设置限制,就是对未来的背叛。
我们可活下去,可活得好,但我们感到了向上的冲动:我们仍希望活得更好。
所追求的目标并非是稳定而是进步。我一直在强调,并不存在真正的稳定。表面上的稳定,其实是换一个相对缓慢的萎缩腐败过程。稳定的宇宙正在从我们脚下溜走。我们的目标是向上的。
天然中存在着某种向上的趋势,与物理衰变的那一方面方向相反。灼热的沙漠,人有渴望水的欲望,而物理的趋势却是:动物的身体越来越干燥。欲望通过对美的欣赏而达到的审美满足的那一欲望,同样不属于单纯的物理秩序。
我们认识到了那一反向的趋势,它把一个秩序的衰败转化为它的继任者的重生。